Skip to content Skip to sidebar Skip to footer

Subacute Stage Of Kawasaki Disease

Oral Necrotizing Microvasculitis In A Patient Affected By Kawasaki Disease

Oral Necrotizing Microvasculitis In A Patient Affected By Kawasaki Disease

Subacute stage of kawasaki disease. Acute subacute and convalescent. The fever should subside but your child may still be irritable and in considerable pain. Phase 2 Sub-acute phase during weeks two to four During the second phase of Kawasaki disease symptoms will typically lessen in their severity however the symptoms experienced tend to last longer.

Acute subacute and convalescent. There have been no reported cases of late-onset fatal cerebral infarction presenting over one year after the onset of KD. Sub-acute weeks 2 to 4 During the sub-acute phase your childs symptoms will become less severe but may last a while.

Kawasaki disease can be divided into three stages. The acute febrile phase usually lasts seven to 14 days. Uehara R1 Yashiro M Oki I Nakamura Y Yanagawa H.

Symptoms during the second phase of Kawasaki disease may include. Cerebral infarction is a rare neurological complication of Kawasaki disease KD and occurs in the acute or subacute stage. Read more about the complications of Kawasaki disease.

Children may experience lack of appetite abdominal pain vomiting and diarrhea. 1Ishii Pediatrics and Pediatric Cardiology Office Kanagawa Japan. The subacute phase spans the period from the end of the fever to about day 25.

Acute stage 1 11 d a. Kawasaki disease begins as a necrotizing arteritis with neutrophilic infiltrate followed by subacutechronic changes and luminal myofi. High fever temperature 104F Irritability N onexudative bilateral conjunctivitis 90 Anterior uveitis 70 Perianal.

Re-treatment regimens for acute stage of Kawasaki disease patients who failed to respond to. Kawasaki disease is a form of vasculitis mainly in small and medium arteries of unknown origin occurring frequently in childhood.

Treatment Of Kawasaki Disease Download Table

Treatment Of Kawasaki Disease Download Table

Pediatrics Kawasaki Disease Dr Khalid

Pediatrics Kawasaki Disease Dr Khalid

Kawasaki Disease Vasculopathy Process 2 Subacute Chronic Sa C Download Scientific Diagram

Kawasaki Disease Vasculopathy Process 2 Subacute Chronic Sa C Download Scientific Diagram

Kawasaki Disease To Present

Kawasaki Disease To Present

Understanding Kawasaki Disease

Understanding Kawasaki Disease

What Are The Stages Of Kawasaki Disease

What Are The Stages Of Kawasaki Disease

1st Philippine Kawasaki Disease Summit Ppt Download

1st Philippine Kawasaki Disease Summit Ppt Download

Pdf At The Heart Of The Fever Kawasaki Disease

Pdf At The Heart Of The Fever Kawasaki Disease

Kawasaki Disease Wikipedia

Kawasaki Disease Wikipedia

Flow Chart Showing The Temporal Course Of Kawasaki Disease Download Scientific Diagram

Flow Chart Showing The Temporal Course Of Kawasaki Disease Download Scientific Diagram

Kawasaki Disease

Kawasaki Disease

Scielo Brasil Doenca De Kawasaki Doenca De Kawasaki

Scielo Brasil Doenca De Kawasaki Doenca De Kawasaki

Kawasaki Disease Springerlink

Kawasaki Disease Springerlink

Kawasaki Disease Pearls And Pitfalls Paediatricfoam

Kawasaki Disease Pearls And Pitfalls Paediatricfoam

Kawasaki Disease Vasculopathy Process 2 Subacute Chronic Sa C Download Scientific Diagram

Kawasaki Disease Vasculopathy Process 2 Subacute Chronic Sa C Download Scientific Diagram

Kawasaki Disease

Kawasaki Disease

Kawasaki Disease Plastic Surgery Key

Kawasaki Disease Plastic Surgery Key

Kawasaki S Disease Thoracic Key

Kawasaki S Disease Thoracic Key

Refractory Kawasaki Disease Diagnostic And Management Challenges Phmt

Refractory Kawasaki Disease Diagnostic And Management Challenges Phmt

Oxygenation In Pediatrics Ppt Download

Oxygenation In Pediatrics Ppt Download

Kawasaki Disease Mucocutaneous Lymph Node Syndrome

Kawasaki Disease Mucocutaneous Lymph Node Syndrome

Kawasaki Disease

Kawasaki Disease

Diagnosis And Management Of Kawasaki Disease American Family Physician

Diagnosis And Management Of Kawasaki Disease American Family Physician

Https Encrypted Tbn0 Gstatic Com Images Q Tbn And9gctp0qynhuwtvia8iwbtnxdnh8zegdevzdw7ipkstg2q52ccyk7f Usqp Cau

Https Encrypted Tbn0 Gstatic Com Images Q Tbn And9gctp0qynhuwtvia8iwbtnxdnh8zegdevzdw7ipkstg2q52ccyk7f Usqp Cau

Refractory Kawasaki Disease A Challenge For The Pediatrician Springerlink

Refractory Kawasaki Disease A Challenge For The Pediatrician Springerlink

Kawasaki Disease

Kawasaki Disease

Kawasaki Disease Pediatrics Mcq And Notes Facebook

Kawasaki Disease Pediatrics Mcq And Notes Facebook

Frontiers Kawasaki Disease Pediatrics

Frontiers Kawasaki Disease Pediatrics

Kawasaki Disease Rebel Em Emergency Medicine Blog

Kawasaki Disease Rebel Em Emergency Medicine Blog

Scielo Brasil Doenca De Kawasaki Doenca De Kawasaki

Scielo Brasil Doenca De Kawasaki Doenca De Kawasaki

Pdf Interleukin 18 And Coronary Artery Lesions In Patients With Kawasaki Disease Semantic Scholar

Pdf Interleukin 18 And Coronary Artery Lesions In Patients With Kawasaki Disease Semantic Scholar

Intravenous Immunoglobulin For The Treatment Of Kawasaki Disease Pediatric Annals

Intravenous Immunoglobulin For The Treatment Of Kawasaki Disease Pediatric Annals

Https Portaldeboaspraticas Iff Fiocruz Br Wp Content Uploads 2020 07 Cir 0000000000000484 Pdf

Https Portaldeboaspraticas Iff Fiocruz Br Wp Content Uploads 2020 07 Cir 0000000000000484 Pdf

National Consensus On The Cardiological Treatment And Follow Up Of Kawasaki Disease Anales De Pediatria

National Consensus On The Cardiological Treatment And Follow Up Of Kawasaki Disease Anales De Pediatria

Kawasaki Disease Vasculopathy Process 3 Luminal Myofibroblastic Download Scientific Diagram

Kawasaki Disease Vasculopathy Process 3 Luminal Myofibroblastic Download Scientific Diagram

Ppt Kawasaki Disease Powerpoint Presentation Free Download Id 2961600

Ppt Kawasaki Disease Powerpoint Presentation Free Download Id 2961600

Kawasaki Disease By Brittni Mcclellan Ppt Download

Kawasaki Disease By Brittni Mcclellan Ppt Download

Kawasaki Disease Sciencedirect

Kawasaki Disease Sciencedirect

Medicina Free Full Text Clinical Manifestations Of Kawasaki Disease At Different Age Spectrum A Ten Year Study Html

Medicina Free Full Text Clinical Manifestations Of Kawasaki Disease At Different Age Spectrum A Ten Year Study Html

What Is A Kawasaki Disease Steemit Health Education Steemit

What Is A Kawasaki Disease Steemit Health Education Steemit

Https Portaldeboaspraticas Iff Fiocruz Br Wp Content Uploads 2020 07 Cir 0000000000000484 Pdf

Https Portaldeboaspraticas Iff Fiocruz Br Wp Content Uploads 2020 07 Cir 0000000000000484 Pdf

Kawasaki Disease An Update Of Diagnosis And Treatment

Kawasaki Disease An Update Of Diagnosis And Treatment

Kawasaki Disease Pearls And Pitfalls Paediatricfoam

Kawasaki Disease Pearls And Pitfalls Paediatricfoam

Overview Of Pharmacological Treatment Options For Pediatric Patients With Refractory Kawasaki Disease Abstract Europe Pmc

Overview Of Pharmacological Treatment Options For Pediatric Patients With Refractory Kawasaki Disease Abstract Europe Pmc

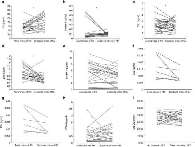
Early Decreased Plasma Levels Of Factor B And C5a Are Important Biomarkers In Children With Kawasaki Disease Pediatric Research

Early Decreased Plasma Levels Of Factor B And C5a Are Important Biomarkers In Children With Kawasaki Disease Pediatric Research

The Mysteries That Surround Kawasaki Disease A Review

The Mysteries That Surround Kawasaki Disease A Review

Kawasaki Disease Mucocutaneous Lymph Node Syndrome Pediatric Group

Kawasaki Disease Mucocutaneous Lymph Node Syndrome Pediatric Group

Figure 4 From Fever With Rash In A Child In India Semantic Scholar

Figure 4 From Fever With Rash In A Child In India Semantic Scholar

1

1

The acute febrile phase usually lasts seven to 14 days.

History and Future of Treatment for Acute Stage Kawasaki Disease. It may still be possible to see conjunctival injection and some degree of fissured lips. High fever temperature 104F Irritability N onexudative bilateral conjunctivitis 90 Anterior uveitis 70 Perianal. Sub-Acute PhaseStage of Kawasaki Disease- Sub-acute phase of the disease lasts for approximately 2weeks followed by abatement of your childs fever when he or she remains at a higher risk related to sudden death because of myocardial infarction. Acute subacute and convalescent. The course of Kawasaki disease can be divided into three clinical phases. Uehara R1 Yashiro M Oki I Nakamura Y Yanagawa H. The fever should subside but your child may still be irritable and in considerable pain. Read more about the complications of Kawasaki disease.


Kawasaki disease KD is a pediatric vasculitis with coronary artery aneurysms CAA as its main complication. 2Department of Pediatrics Kitasato University School. Phase 2 Sub-acute phase during weeks two to four During the second phase of Kawasaki disease symptoms will typically lessen in their severity however the symptoms experienced tend to last longer. There have been no reported cases of late-onset fatal cerebral infarction presenting over one year after the onset of KD. It may still be possible to see conjunctival injection and some degree of fissured lips. Kawasaki disease begins as a necrotizing arteritis with neutrophilic infiltrate followed by subacutechronic changes and luminal myofi. Inflammatory changes decrease but aneurysms may form in the blood vessels.

Post a Comment for "Subacute Stage Of Kawasaki Disease"